Description
Visualisations for Model Ensembles.
Description
Displays for model fits of multiple models and their ensembles. For classification models, the plots are heatmaps, for regression, scatterplots.
README.md
ensModelVis
The goal of ensModelVis is to display model fits for multiple models and their ensembles.
Installation
You can install the development version of ensModelVis from GitHub with:
# install.packages("devtools")
devtools::install_github("domijan/ensModelVis")
Example
This is a basic example:
library(ensModelVis)
data(iris)
if (require("MASS")) {
lda.model <- lda(Species ~ ., data = iris)
lda.pred <- predict(lda.model)
}
#> Loading required package: MASS
if (require("ranger")) {
ranger.model <- ranger(Species ~ ., data = iris, mtry = 1)
ranger.pred <- predict(ranger.model, iris)
ranger.model2 <-
ranger(Species ~ .,
data = iris,
mtry = 4,
num.trees = 10)
ranger.pred2 <- predict(ranger.model2, iris)
}
#> Loading required package: ranger
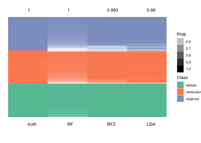
plot_ensemble(
iris$Species,
data.frame(
LDA = lda.pred$class,
RF = ranger.pred$predictions,
RF2 = ranger.pred2$predictions
)
)

plot_ensemble(
iris$Species,
data.frame(
LDA = lda.pred$class,
RF = ranger.pred$predictions,
RF2 = ranger.pred2$predictions
),
incorrect = TRUE
)

if (require("ranger")) {
ranger.model <- ranger(Species ~ ., data = iris, mtry = 1, probability = TRUE)
ranger.prob <- predict(ranger.model, iris)
ranger.model2 <-
ranger(Species ~ .,
data = iris,
mtry = 4,
num.trees = 10,
probability = TRUE)
ranger.prob2 <- predict(ranger.model2, iris)
}
plot_ensemble(
iris$Species,
data.frame(LDA = lda.pred$class,
RF = ranger.pred$predictions,
RF2 = ranger.pred2$predictions),
tibble_prob = data.frame(
LDA = apply(lda.pred$posterior, 1, max),
RF = apply(ranger.prob$predictions, 1, max),
RF2 = apply(ranger.prob2$predictions, 1, max)
)
)
