Description
Standardise 'ggplot2' Geom Width.
Description
Standardise the width in 'ggplot2' geoms to appear visually consistent across plots with different numbers of categories, panel dimensions, and orientations.
README.md
ggwidth 
The objective of ggwidth is to standardise ‘ggplot2’ geom width.
It provides methods to ensure the width in ggplot2 geoms are visually consistent across plots with different numbers of categories, panel dimensions, and orientations.
It works with geoms such as geom_bar/geom_col, geom_boxplot and geom_errorbar.
Note this function requires:
- a set theme with panel widths and heights specified
"x"orientation plots to have a x discrete scale with default expand"y"orientation plots to have a y discrete scale with default expand.
Installation
Install from CRAN, or development version from GitHub.
install.packages("ggwidth")
pak::pak("davidhodge931/ggwidth")
library(ggplot2)
library(dplyr)
library(ggwidth)
library(patchwork)
set_theme(
theme_grey() +
theme(panel.widths = rep(unit(75, "mm"), 2)) +
theme(panel.heights = rep(unit(50, "mm"), 2))
)
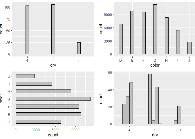
set_equiwidth(1)
p1 <- mpg |>
ggplot(aes(x = drv)) +
geom_bar(
width = get_width(n = 3),
colour = "black",
fill = "grey",
)
p2 <- diamonds |>
ggplot(aes(x = color)) +
geom_bar(
width = get_width(n = 7),
colour = "black",
fill = "grey",
)
p3 <- diamonds |>
ggplot(aes(y = color)) +
geom_bar(
width = get_width(n = 7, orientation = "y"),
colour = "black",
fill = "grey",
)
p4 <- mpg |>
ggplot(aes(x = drv, group = factor(cyl))) +
geom_bar(
position = position_dodge(preserve = "single"),
width = get_width(n = 3, n_dodge = 4),
colour = "black",
fill = "grey",
)
p1 + p2 + p3 + p4

d <- tibble::tibble(
continent = c("Europe", "Europe", "Europe", "Europe", "Europe",
"South America", "South America"),
country = c("AT", "DE", "DK", "ES", "PK", "TW", "BR"),
value = c(10L, 15L, 20L, 25L, 17L, 13L, 5L)
)
max_n <- d |>
count(continent) |>
pull(n) |>
max()
d |>
mutate(country = forcats::fct_rev(country)) |>
ggplot(aes(y = country, x = value)) +
geom_col(
width = get_width(n = max_n, orientation = "y"),
colour = "black",
fill = "grey",
) +
facet_wrap(~continent, scales = "free_y") +
scale_y_discrete(continuous.limits = c(1, max_n)) +
coord_cartesian(reverse = "y", clip = "off")

mpg |>
ggplot(aes(x = drv)) +
geom_bar(
width = get_width(n = 3, panel_widths = unit(160, "mm")),
colour = "black",
fill = "grey",
) +
theme(panel.widths = unit(160, "mm"))
